This is a migrated thread and some comments may be shown as answers.

[Solved] Drilldown from vb code behind

3 Answers 160 Views
OrgChart
This is a migrated thread and some comments may be shown as answers.
Ian
Top achievements
Rank 1
Ian asked on 22 May 2014, 09:57 AM
I have drilldown enabled on my Org Chart, but I want to load the page "already drilled down" to a specific Node ID

I'll know the Node ID when the page loads

So is this possible, and if so, how?

Thanks

3 Answers, 1 is accepted

Sort by
0
Peter Filipov
Telerik team
answered on 27 May 2014, 07:59 AM
Hello Ian,

Thank you for contacting Telerik Support.

The RadOrgChart control has a client side API which allows to drill down on a particular node. Here is a code snippet how it could be done:
$find("RadOrgChart1").drillDownOnNode("0:0") //you should pass the hierarchical id of the Node.


I will be glad to assist you further.

Regards,
Peter Filipov
Telerik
 

Check out the Telerik Platform - the only platform that combines a rich set of UI tools with powerful cloud services to develop web, hybrid and native mobile apps.

 
0
Kevin Dugan Jr
Top achievements
Rank 1
answered on 03 Feb 2016, 01:45 PM
Regarding "0:0"  ... is one the level and the other the Node ID?  Can you explain with some detail or example please?
0
Peter Filipov
Telerik team
answered on 08 Feb 2016, 07:43 AM
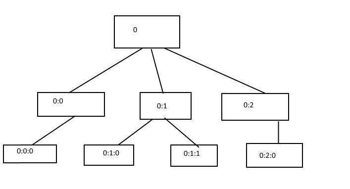
Hi,

I have attached a picture how the hierarchical index is determined. The id of the node is not involved in the calculation.. E.g. 0:0 means that the this is the first node of the root node. 0:1:0 this means that the node is the first child of the second child of the root node. 

Regards,
Peter Filipov
Telerik
Do you want to have your say when we set our development plans? Do you want to know when a feature you care about is added or when a bug fixed? Explore the Telerik Feedback Portal and vote to affect the priority of the items
Tags
OrgChart
Asked by
Ian
Top achievements
Rank 1
Answers by
Peter Filipov
Telerik team
Kevin Dugan Jr
Top achievements
Rank 1
Share this question
or