Hi,
I got the following error while loading the RadForm. Can you help. Thanks
Peter

Hello,
In order to sincronize horizontal scrollbars in GridView we are using the source code of the following article:
https://docs.telerik.com/devtools/winforms/knowledge-base/synchronize-scrollbars-in-hierarchy-levels
The thing is that we have tried this code in an empty project with an empty grid with 11 columnas, 30 rows and still 0 child rows and when I move the scroll bar there is too much lag.
The code line that causes the lag is: this.radGridView1.MasterTemplate.Refresh(); in the HScrollBar_ValueChanged method but it's the line that makes everything work.
Is there any way to imporve this or any new method that we can implemente since the article was made in 2018 so there may be there ways to do it.
Thank you and regards.

Hi,
default behavior when creating a new WinForms project is that this setting is generated in app.config:
<appSettings>
<add key="TelerikWinFormsThemeName" value="VisualStudio2022Light" />
</appSettings>Since I am using .net 6 and appsettings.json, I would love to eliminate app.config entirely.
Is there a way to move this setting to appsettings.json or implement it in code globally (without adding the code in every form or user control) and still maintain the design time functionality?
regards,
Darko

Is there a Winforms example of a RadCheckedDropDownList as an Editor for a PropertyGrid?
There is a sample for WPF, https://docs.telerik.com/devtools/wpf/controls/radpropertygrid/features/radenumeditor
There is sample for Winforms Gridview, https://docs.telerik.com/devtools/winforms/controls/dropdown-listcontrol-and-checkeddropdownlist/checkeddropdownlist/how-to/use-as-radgridview-editor
but nothing for Winforms PropertyGrid.
How would I get the following to appear as a checked drop down editor inside a property grid in winforms?
using CommunityToolkit.Mvvm.ComponentModel;
namespace ProjectXYZ.Model.Enums;
public enum BroadcastPlanEnum
{
Plan1, Plan2, Plan3, Plan4, Plan5, Plan6
}
public sealed partial class BroadcastPlanActive : ObservableObject
{
[ObservableProperty]
private BroadcastPlanEnum broadcastPlan;
[ObservableProperty]
private bool selected;
}

I am not having any luck finding a way to adjust the height of status string on my form.
TIA for any help

How can I add a Datetime to the exported file name
spreadExporter.RunExport(@"C:\#support\Reports\AlarmsRpt\AlarmsReport.xlsx", renderer);
Does not allow for overloads, so, how can I do it?
Thanks,

Hi,
I’m a litte bit confused concerning checkboxes in the Telerik GridView. For this a made an example program to show the confusing point. It has to do with checkboxes, states and filtering.
I’ve a grid with a twoState checkbox and one with a threeState checkbox. The threeState one is doubled, one based on the nullable boolean and one with a typeconverter.
My goal is when I’ve a twostate checkbox column, to also have a twostate filter. When I let the code default, I get a threestate checkbox in the filter area. The third state is a filled box (Indeterminate). In my opinion it has no value because the filtering is treated like ‘I don’t care what the content is’ or simply ‘no filtering’. Ok.. I could live with that. The meaning of the Indeterminate status is the same as no filtering.
Now the first threestate one (bool?). when I start the application there is no checkbox in the filter area and it says ‘no filter’. If I want to filter I’ve to click explicitly on the filtericon, then the checkbox appears and I can click on it. The third state (Indeterminate) is like the first column. I see all the records. What I see as a problem is that I can’t filter on records who has Indeterminate (or null) as value. Thereby the meaning of the Indeterminate is not clear anymore. The filtering is treated like ‘no filter’ but in the records it means ‘there is no value’. Also I can’t get control on the appearance of the filterbox. Try playing with it by clicking on the checkbox and clicking ‘no filter’ in the contextMenu. Sometimes the filter checkbox disappears or its not clickable anymore. ??
The third checkbox column is one with a typeConverter behind it. At start of the application there is a checkbox in the filterarea and its stated as Indeterminate. I see all the records so it’s meaning should be the same as the first column – ‘no filtering’. Now when I start clicking on the filtercheckbox the meaning changes. Now it filters on Indeterminate. When I remove the filter through the contextMenu, the filterbox disappears. This is actually correct but it’s start state is not.
So, I’m pretty confused now.
Of course I’ve searched around on the internet and I found something interesting. In one the items on the Telerik forum I saw a possibility for breaking in on the filter checkbox appearance – it’s the ViewCellFormatting event. It looks like that when I’ve a twostate column, the filtercheckbox gets threestate and visaversa. Is this a bug??
In my example application I changed that (see code). A twoState column gets also a two state filtercheckbox by setting it explicitly. So please enable the eventhandler and run the program again.
Now I almost get what I would expect. The first column which is twostate, can only be filtered on 2 states. True or false. If one want to see all, remove the filter. Sounds logically.
The first threestate column (bool?) has no checkbox at start of the application. When I set filtering through the contextMenu, it appears and the meaning of Indeterminate is like ‘no filter’. If I remove the filter, the checkbox does not and the state is Indeterminate. ??
The second threestate (with a converter) reacts the same as without the eventhandler. It starts with a checkbox in the filter area which has the Indeterminate state, but I see all the records. After clicking it, it starts to filter it correctly. At removing the filter, the filterbox is empty.
As you can probably understand the current situation is not acceptable for us because of ambiguous meanings and inconsistency concerning the start situation and after working in the grid.
What’s going on?? What is the intention of Telerik and where do I get confused??
What I would like to have is in case of a two state column, a two state filtercheckbox and the working of the column with the converter except not with that starting state. At start the filterbox should be empty.
Please help me out of this.

When exporting a RadDataGridView with the Export-Visuals enabled this handled what I needed (export conditional formatting), however it slowed the export down greatly. My solution was to swap to Async export. This did make the GUI better, but broke the export of conditional formatting. I jury-rigged a solution that works well enough, although not great. Figured I'd pass this along just in case it helps others
[Main Export Method ...]
BtnExportExcel.Enabled = false;
try
{
GridViewSpreadExport spreadExporter = new GridViewSpreadExport(this.radGridView1);
spreadExporter.ExportChildRowsGrouped = true;
spreadExporter.HiddenColumnOption = Telerik.WinControls.UI.Export.HiddenOption.DoNotExport;
spreadExporter.HiddenRowOption = Telerik.WinControls.UI.Export.HiddenOption.DoNotExport;
spreadExporter.FileExportMode = FileExportMode.CreateOrOverrideFile;
SpreadExportRenderer exportRenderer = new SpreadExportRenderer();
spreadExporter.ExportVisualSettings = true;
lastFileName = fileName;
using (var bgw = new BackgroundWorker())
{
pgb_Saving.Value = 0;
pnlSaving.Visible = true;
var bgwFileName = fileName;
bgw.DoWork += (o,e)=> spreadExporter.RunExport(bgwFileName, exportRenderer);
bgw.RunWorkerCompleted += SpreadExporter_AsyncExportCompleted;
bgw.RunWorkerAsync();
}
}
catch (Exception ex)
{
BtnExportExcel.Enabled = true;
}
[...]
private void SpreadExporter_AsyncExportCompleted(object sender, AsyncCompletedEventArgs e)
{
pgb_Saving.Value = 0;
pnlSaving.Visible = false;
tsbDataGridViewExportExcel.Enabled = true;
if (e.Error is null && System.IO.File.Exists(lastFileName))
{
string szTemp = "'" + lastFileName + "' created.\r\n\r\nWould you like to open the spreadsheet?";
var iRet = MsgBox.ConfirmMsg(szTemp, MessageBoxButtons.YesNo, "Spreadsheet Created");
if (iRet == DialogResult.Yes) System.Diagnostics.Process.Start(lastFileName);
}
SwapForExport(false);
}
private void pnlSaving_VisibleChanged(object sender, EventArgs e)
{
if (pnlSaving.Visible)
{
if (pnlSaving.Tag as Timer is null) {
var tmr = new Timer() { Interval = 250 };
tmr.Tick += Timer_Tick;
pnlSaving.Tag = tmr;
}
((Timer)pnlSaving.Tag).Start();
}
else
{
if(pnlSaving.Tag is Timer tmr)
{
tmr.Stop();
}
}
}
private void Timer_Tick(object sender, EventArgs e)
{
//pgb_Saving is a Progress Bar
pgb_Saving.Value = (pgb_Saving.Value + 1) % pgb_Saving.Maximum;
}
Hello,
I have a small terminal type app that displays some data in a RadTextBoxControl as it arrives. Events are fired and data is displayed on the screen by way of the RadTextBoxControl. That part works great.
When certain strings arrive, I'd like to replace it with a hyperlink or button of sorts. I found the example for Creating Custom Blocks (https://docs.telerik.com/devtools/winforms/controls/editors/textboxcontrol/creating-custom-blocks) and this looked really promising. But, the issue I had there is that this event fires on on lots of different characters. Meaning, you can't use it to parse out a line of text and then replace it with a custom object. You parse each block as it comes in.
Ideally, I want certain types of text, like "<link cmd=".cm*">Run custom command</link>" to be replaced with some text that looks like "Run custom command" but in a way that it acts like a hyperlink where I can register for its click event and do whatever I need to do. This is proving to be pretty tricky for me but I have a feeling Telerik controls probably have a way :)
Thanks,
Michael

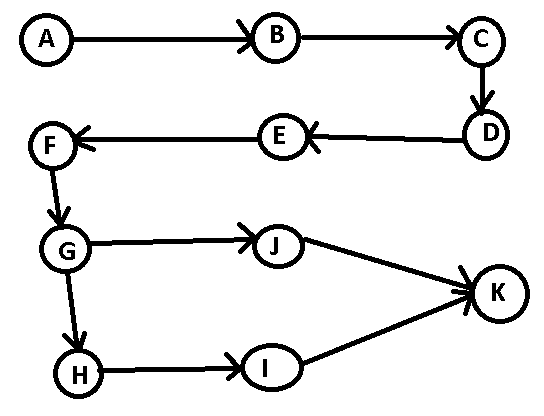
Hello Telerik,
Sorry, is it possible to create something like (I'm not really sure what it calls) flow or line with nodes or checkpoint ? Maybe like this image
Or like, if we played an adventure game, an on that game there was a map that shows where we were and what was the next quest or city, or anything.
Thanks before.
