This is a migrated thread and some comments may be shown as answers.

[Solved] Layout behavior in RadDiagram

2 Answers 218 Views
Diagram
This is a migrated thread and some comments may be shown as answers.
Alex
Top achievements
Rank 1
Alex asked on 28 Sep 2015, 09:47 AM

Hello!

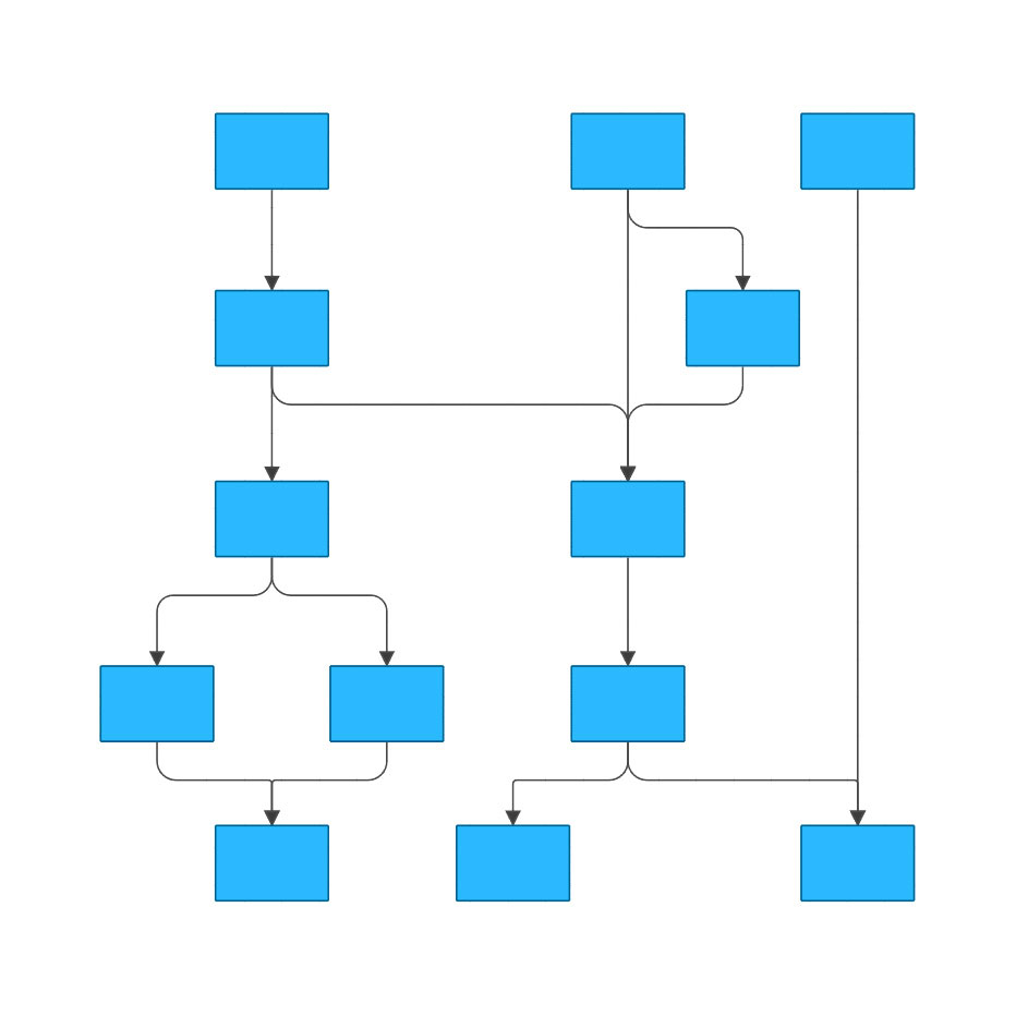
I have a problem with Layout in RadDiagram. While using this example after applying Layout() method to my diagram (Sample.jpg), arrangement of layers and connections between them became very strange. Examples of applying Tree-down and Tree-up layouts are in the files TreeDown.jpg and TreeUp.jpg respectively.

Is it possible to place layers applying Layout() method, according to their connection?  

Thank You!

2 Answers, 1 is accepted

Sort by
0
Accepted
Kiril Vandov
Telerik team
answered on 30 Sep 2015, 02:11 PM
Hello Alex,

This is a custom Layout based on a predefined logic currently the RadDiagram does not support such custom Layout. There is a feature request to allow control over layouted elements logged in our system, you can track its progress and vote for its implementation in our feedback portal. However you could give a try to one of our SDK samples which implements a Layout based on a multiple roots just like you in your case. You could take advantage of the SDK and modify it to work for your scenario.
As for your question "Is it possible to place layers applying Layout() method, according to their connection? ". No currently there is no way to place layers which to be applied to the Layout.

I hope this information helps.

Kind regards,
Kiril Vandov
Telerik
Do you want to have your say when we set our development plans? Do you want to know when a feature you care about is added or when a bug fixed? Explore the Telerik Feedback Portal and vote to affect the priority of the items
0
Alex
Top achievements
Rank 1
answered on 02 Oct 2015, 02:43 PM

Thank You for answer! 

Tags
Diagram
Asked by
Alex
Top achievements
Rank 1
Answers by
Kiril Vandov
Telerik team
Alex
Top achievements
Rank 1
Share this question
or