Similar to the following, is there a way to combine stacked and clustered columns within a single graph?

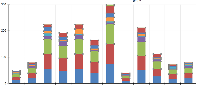
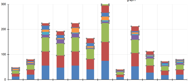
Each time I've attempted to do so I end up with something like the following, where both stacked columns appear vertically aligned, rather than aligned side-by-side. "Series2" is currently selected in my screenshot below, hence the visible grab points.
The steps I'm attempting to perform are as follows:
- Use the chart wizard to add a new stacked column chart
- Add a new series to the chart, which is also stacked column
- Update the new series to use the same CategoryGroup as the first series.
Thanks for any help!
Hi Jeremy,
The Graph item currently does not support this type of chart. The category slots are designed to accommodate series, arranged only in one way - stacked or clustered, but not both.
The closest to the desired layout is the master-child approach, which can be done by adding a child group to the category group, which will split the category slot according to grouping criteria. Additionally, the group can be expanded/collapsed with the toggle visibility handler, shown right next to each group label - How to Add a Drilldown/Toggle Visibility Action.
I have prepared a small TRDP example that demonstrates the above suggestion. I hope you will find it useful.