Hey everyone,
Does Xamarin Form Charts support negative chart values? (Especially -y axis) It says it does not supports for Xamarin forms but I'm not quite sure about this info. Does anybody knows? Thanks in advance.
ps. added sample chart to the attachment
3 Answers, 1 is accepted
0
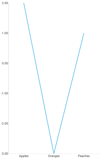
Hello Hakan,
This is indeed supported, see the attached screenshot (you'll see that Oranges has a value of -3).
Here is the code I used to generate that chart.
XAML:
Code-behind or ViewModel:
Please let us know if you have any further questions or concerns. Thank you for contacting Support and for choosing Telerik by Progress.
Regards,
Lance | Tech Support Engineer, Sr.
Telerik by Progress
This is indeed supported, see the attached screenshot (you'll see that Oranges has a value of -3).
Here is the code I used to generate that chart.
XAML:
<
telerikChart:RadCartesianChart
>
<
telerikChart:RadCartesianChart.HorizontalAxis
>
<
telerikChart:CategoricalAxis
/>
</
telerikChart:RadCartesianChart.HorizontalAxis
>
<
telerikChart:RadCartesianChart.VerticalAxis
>
<
telerikChart:NumericalAxis
/>
</
telerikChart:RadCartesianChart.VerticalAxis
>
<
telerikChart:RadCartesianChart.Series
>
<
telerikChart:LineSeries
x:Name
=
"MyLineSeries"
>
<
telerikChart:LineSeries.CategoryBinding
>
<
telerikChart:PropertyNameDataPointBinding
PropertyName
=
"Category"
/>
</
telerikChart:LineSeries.CategoryBinding
>
<
telerikChart:LineSeries.ValueBinding
>
<
telerikChart:PropertyNameDataPointBinding
PropertyName
=
"Value"
/>
</
telerikChart:LineSeries.ValueBinding
>
</
telerikChart:LineSeries
>
</
telerikChart:RadCartesianChart.Series
>
</
telerikChart:RadCartesianChart
>
Code-behind or ViewModel:
MyLineSeries.ItemsSource = new ObservableCollection<
ChartData
>
{
new ChartData { Category = $"Apples", Value = 2 },
new ChartData { Category = $"Oranges", Value = -3 },
new ChartData { Category = $"Peaches", Value = 1 }
};
Please let us know if you have any further questions or concerns. Thank you for contacting Support and for choosing Telerik by Progress.
Regards,
Lance | Tech Support Engineer, Sr.
Telerik by Progress
Do you want to have your say when we set our development plans?
Do you want to know when a feature you care about is added or when a bug fixed?
Explore the
Telerik Feedback Portal
and vote to affect the priority of the items
0

Hakan
Top achievements
Rank 1
answered on 14 Dec 2016, 04:25 PM
Wow thanks for the answer! :) I was suspicious about this according to the comparison table on http://www.telerik.com/xamarin-ui/chart
it says 'Support for Negative Axis Values' not available for xamarin forms. I dont know why :S
0
Hello Hakan,
Thank you for letting us know about the comparison chart. I will have the team review and update the chart on the product page.
Regards,
Lance | Tech Support Engineer, Sr.
Telerik by Progress
Thank you for letting us know about the comparison chart. I will have the team review and update the chart on the product page.
Regards,
Lance | Tech Support Engineer, Sr.
Telerik by Progress
Do you want to have your say when we set our development plans?
Do you want to know when a feature you care about is added or when a bug fixed?
Explore the
Telerik Feedback Portal
and vote to affect the priority of the items