Hello Telerik,
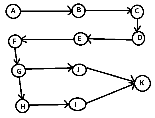
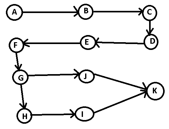
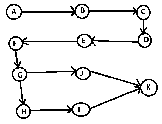
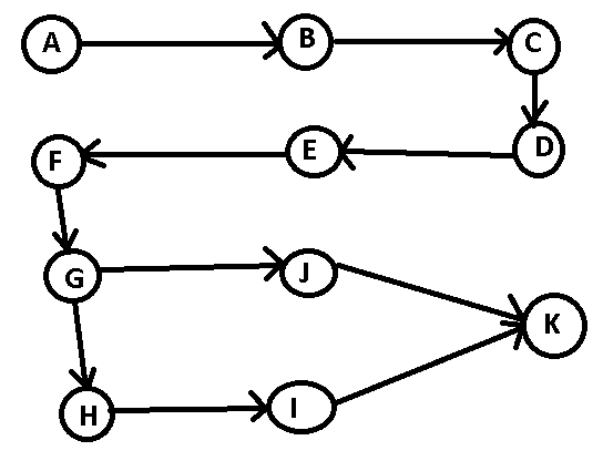
Sorry, is it possible to create something like (I'm not really sure what it calls) flow or line with nodes or checkpoint ? Maybe like this image
Or like, if we played an adventure game, an on that game there was a map that shows where we were and what was the next quest or city, or anything.
Thanks before.
