Hi from France ! (and excuse me for my bad english)
After 3 days on RadFixedDocument to make a PDF file, i need help !
I must make a PDF File based on my Asp.net Vb.net website (attached file)
i must make a document with "same" design : Landscape document and grids on left and on right
Dim
document
As
New
Telerik.Windows.Documents.Fixed.Model.RadFixedDocument
document.DocumentInfo.Author =
"(c) Francelot"
document.DocumentInfo.Title =
"Bilan Gestion"
Dim
ex
As
New
Telerik.Windows.Documents.Fixed.Model.Editing.RadFixedDocumentEditor(document)
ex.SectionProperties.PageRotation = Telerik.Windows.Documents.Fixed.Model.Data.Rotation.Rotate90
ex.InsertSectionBreak()
ex.InsertRun(
"TEST"
)
ex.InsertLine(
"Bilan Gestion"
)
ex.Dispose()
After this i got landscape document but my text is right to left (write not landscape, just rotate page ...)
Thank for your help !
Vincent.
3 Answers, 1 is accepted
0
Hello Vencent,
Note that the PageRotation property will rotate the section and also its content. Instead, you can try setting the PageSize of the sections. This way you can define a landscape size. For example:
I hope this helps.
Regards,
Martin
Telerik by Progress
Note that the PageRotation property will rotate the section and also its content. Instead, you can try setting the PageSize of the sections. This way you can define a landscape size. For example:
var ex =
new
RadFixedDocumentEditor(document);
ex.SectionProperties.PageSize =
new
Size(840, 480);
I hope this helps.
Regards,
Martin
Telerik by Progress
0

Vincent
Top achievements
Rank 1
Iron
Iron
answered on 29 Nov 2016, 03:54 PM
Hello Martin,
Since my pdf is 80% finish. (result see in 4 png attached files)
my boss wants now adding Page number on pdf, but how... not found...
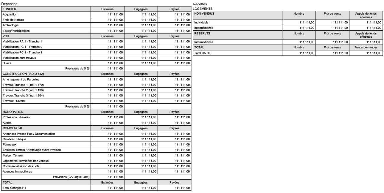
At the beginning he want 2 tables ("want" png attached file) :
- At Left : "Dépenses" table
- At Right : "Recettes" table
Perhaps something must be improuved
Thanks for your help.
This is my code :
Dim
document
As
New
RadFixedDocument
Using Editor
As
Editing.RadFixedDocumentEditor =
New
Editing.RadFixedDocumentEditor(document)
With
Editor
.SectionProperties.PageSize = A4P
.SectionProperties.PageMargins =
New
Telerik.Windows.Documents.Primitives.Padding(48.768)
'Titre Genéral
.ParagraphProperties.HorizontalAlignment = Editing.Flow.HorizontalAlignment.Center
.CharacterProperties.FontSize = 34
.InsertParagraph()
.InsertLine(
"Bilan Gestion"
)
' ... here call my generate header
For
Each
bilan
In
Bilans
.CharacterProperties.FontSize = 18
.InsertLine(
String
.Format(maskTypeBilan, Francelot.BilanGestion.Utils.ConvertTypeSousBilanToStr(bilan.TypeBilan)))
'Depenses
.CharacterProperties.FontSize = 16
.InsertLineBreak()
.InsertLine(
"Dépenses"
)
.CharacterProperties.FontSize = 14
'Appel Génération Table
For
Each
Depense
In
bilan.Depenses.Repartition
Dim
depenseTable
As
Editing.Tables.Table = Depense.ForPDF()
.InsertTable(depenseTable)
Next
'Recettes
.CharacterProperties.FontSize = 16
.InsertLineBreak()
.InsertLine(
"Recettes"
)
.CharacterProperties.FontSize = 14
'Appel Génération Table
Dim
grpList
As
New
List(Of
String
)
For
Each
Recette
In
bilan.Recettes.Repartition
If
Not
IsNothing(Recette.NomGroupe)
AndAlso
Not
grpList.Contains(Recette.NomGroupe)
Then
grpList.Add(Recette.NomGroupe)
.InsertLine(Recette.NomGroupe)
End
If
Dim
recetteTable
As
Editing.Tables.Table = Recette.ForPDF()
.InsertTable(recetteTable)
Next
Next
End
With
End
Using
My Table Generator :
Public
Function
ForPDF()
As
Editing.Tables.Table
Dim
colorBorder
As
New
ColorSpaces.RgbColor(0, 0, 0)
Dim
colorTableHeader
As
New
ColorSpaces.RgbColor(225, 225, 225)
Dim
border
As
New
Editing.Border(1, colorBorder)
Dim
borders
As
New
Editing.Tables.TableCellBorders(border, border, border, border)
Dim
paddingHeader
As
New
System.Windows.Thickness(6, 4, 6, 4)
Dim
paddingData
As
New
System.Windows.Thickness(6, 4, 6, 4)
Dim
libelleSize
As
Integer
= 400
Dim
dataSize
As
Integer
= 150
Dim
t
As
New
Editing.Tables.Table
t.LayoutType = Editing.Flow.TableLayoutType.AutoFit
t.DefaultCellProperties.Borders = borders
Dim
rHeader
As
Editing.Tables.TableRow = t.Rows.AddTableRow
'Headers
With
rHeader
Dim
b
As
Editing.Block
For
Each
col
As
DataColumn
In
Repartition.Columns
If
Not
NoPrintColName.Contains(col.ColumnName)
Then
Dim
maHeaderCell
As
Editing.Tables.TableCell = .Cells.AddTableCell()
maHeaderCell.Background = colorTableHeader
maHeaderCell.Padding = paddingHeader
b = maHeaderCell.Blocks.AddBlock
Dim
entete
As
String
=
Nothing
If
col.ColumnName <> LibellecolName
Then
b.HorizontalAlignment = Editing.Flow.HorizontalAlignment.Center
maHeaderCell.PreferredWidth = dataSize
entete = col.Caption
Else
b.HorizontalAlignment = Editing.Flow.HorizontalAlignment.Left
maHeaderCell.PreferredWidth = libelleSize
entete = col.Caption.ToUpper
End
If
b.InsertText(entete)
End
If
Next
End
With
'Rows
Dim
monTexte
As
String
=
Nothing
Dim
rowSpanned
As
Boolean
=
False
Dim
ProvisionFirstDataColumnPassed
As
Boolean
=
False
For
Each
row
As
DataRow
In
Repartition.Rows
Dim
tr
As
Editing.Tables.TableRow = t.Rows.AddTableRow
With
tr
For
Each
col
As
DataColumn
In
Repartition.Columns
If
Not
NoPrintColName.Contains(col.ColumnName)
Then
Dim
maCell
As
Editing.Tables.TableCell = .Cells.AddTableCell()
maCell.Padding = paddingData
Dim
b
As
Editing.Block = maCell.Blocks.AddBlock()
'Si Ligne Provision
If
Repartition.Columns.Contains(ColNameTypeRow)
AndAlso
row(ColNameTypeRow) =
"P"
Then
If
col.ColumnName = LibellecolName
Then
monTexte = row(col.ColumnName).ToString()
b.HorizontalAlignment = Editing.Flow.HorizontalAlignment.Right
'Libelle
Else
If
ProvisionFirstDataColumnPassed
Then
maCell.ColumnSpan = 2
rowSpanned =
True
monTexte =
String
.Empty
Else
monTexte =
String
.Format(
"{0:N2}"
, 111111)
'Debug Publication Forum
'monTexte = String.Format("{0:N2}", row(col.ColumnName))
ProvisionFirstDataColumnPassed =
True
End
If
b.HorizontalAlignment = Editing.Flow.HorizontalAlignment.Right
End
If
Else
If
col.ColumnName = LibellecolName
Then
monTexte = row(col.ColumnName).ToString()
b.HorizontalAlignment = Editing.Flow.HorizontalAlignment.Left
'Libelle
Else
monTexte =
String
.Format(
"{0:N2}"
, 111111)
'Debug Publication Forum
'monTexte = String.Format("{0:N2}", row(col.ColumnName))
b.HorizontalAlignment = Editing.Flow.HorizontalAlignment.Right
'DATA
End
If
End
If
b.InsertText(monTexte)
If
rowSpanned
Then
ProvisionFirstDataColumnPassed =
False
rowSpanned =
False
Exit
For
End
If
End
If
Next
End
With
Next
Return
t
End
Function
0
Hello Vincent,
There is no built-in support for page number. To add such you will need create a text element and insert it in the pdf document.
To add two tables on a single row you can wrap them into another table with two columns. Place the one table in the first column and the second one in the second column.
Regards,
Martin
Telerik by Progress
There is no built-in support for page number. To add such you will need create a text element and insert it in the pdf document.
To add two tables on a single row you can wrap them into another table with two columns. Place the one table in the first column and the second one in the second column.
Regards,
Martin
Telerik by Progress